圆面积计算公式推导过程(趣味数学|圆面积公式的多种方法推导)
圆面积计算公式推导过程(趣味数学|圆面积公式的多种方法推导)
圆面积公式的推导,中间包含有朴素的极限、积分思想(无穷切割到无穷小后累加)和微积分思想。当然,该公式包含π,自然是以圆周公式2πr为基础。
1 圆面积夹逼于内切和外四边形
如下图,圆的面积应该大于内切四边形面积:
比较接近于
4 化圆为三角
把圆分成n个大小递减的圆环可以堆叠成一个三角形:
每个圆环面积 ≈ 每个长方形面积
也就是古老的割圆术:
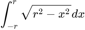
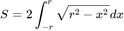
6 利用微积分
圆心在原点,半径为
当
时,
和
是一一对应关系,可以看出函数
基本微积分知识告诉我们,当我们求积分
时,就是求半圆的面积,于是利用对称性,我们可知
可以利用第一换元积分法等方法求出该积分的值,最后结果就是
-
- 一岁宝宝食谱大全 一岁宝宝一周食谱来了!不知道吃什么看这里
-
2024-02-21 19:58:07
-
- 洗衣机不排水的原因和解决办法(洗衣机不排水是什么原因?洗衣机不排水的原因
-
2024-02-21 19:56:02
-
- 嫩豆腐怎么烧才好吃?这才是最好吃的做法,酸酸甜甜,味道好极了
-
2024-02-21 19:53:57
-
- 男士面部皱纹如何消除?学会这一套,减龄10岁!
-
2024-02-21 19:51:52
-
- 血小板高如何治疗(血小板高如何治疗方法)
-
2024-02-21 19:51:07
-
- 水稳层是什么意思(水稳层是什么意思?——深入探究水稳层的定义、作用和施工技
-
2024-02-21 19:49:02
-
- 娘家的故事第四部(娘家的故事第四部80集大结局)
-
2024-02-21 19:46:57
-
- 二本分数线较低的大学(二本分数线较低的大学:如何选择适合自己的大学?)
-
2024-02-21 19:44:52
-
- 怎么快速把作业写完(怎么快速把作业写完三年级)
-
2024-02-21 19:42:47
-
- 慢条斯理(职场必学的人际沟通技巧)
-
2024-02-21 19:40:43
-
- 晨跑和夜跑哪个更减肥(晨跑和夜跑,哪个更利于减脂?)
-
2024-02-21 19:38:38
-
- 播放照片(如何自动播放照片)
-
2024-02-21 19:36:33
-
- 所罗门72柱魔神(所罗门72柱魔神至上四柱)
-
2024-02-21 19:34:27
-
- 失望到闭口不言的句子(形容心寒失望的句子,句句透着心酸,悲伤到泪流成河!)
-
2024-02-21 19:32:22
-
- 一年级100数的组成填空怎么写 一年级100数的组成填空题目
-
2024-02-21 17:52:50
-
- 吴国历史(探究吴国历史:从建国到灭亡的发展历程)
-
2024-02-21 17:50:44
-
- 糖醋排骨的做法家常做法步骤i事事事心事 糖醋排骨的做法家常做法步骤京酱肉丝
-
2024-02-21 17:48:38
-
- 水里加什么绿萝会疯长 让绿萝疯长的妙招
-
2024-02-21 17:46:33
-
- 毛毛虫怎么变成蝴蝶看图写话,毛毛虫怎么变成蝴蝶的图片
-
2024-02-21 17:44:27
-
- 被除数,除数,商和余数的和是383,商是7,余数是4 被除数除数商和余数的和是383已
-
2024-02-21 17:42:21